• Предмет: Геометрия
  • Автор: Arina0
  • Вопрос задан 11 лет назад

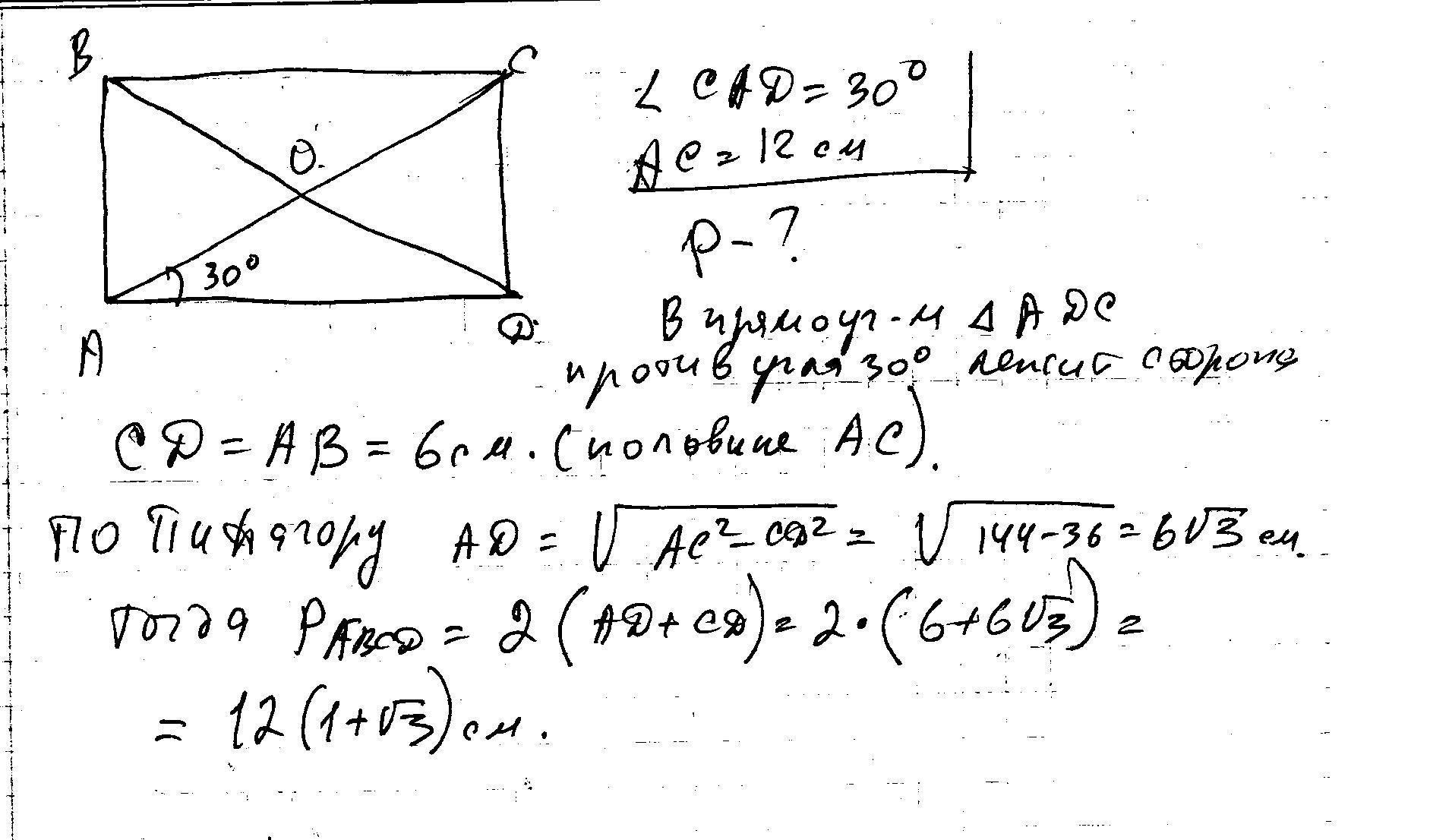
в прямоугольнике ABCD диагонали пересекаются в точке 0. Найдите периметр треугольника AOB , если угол CAD=30 градусам, AC=12см

Ответы

Ответ дал: ужнеужели
0
решение в скане...............
Приложения:
Вас заинтересует