• Предмет: Алгебра
  • Автор: Роза8851
  • Вопрос задан 10 лет назад

плизззззззззззззззззззззз

Приложения:

Ответы

Ответ дал: NNNLLL54
0
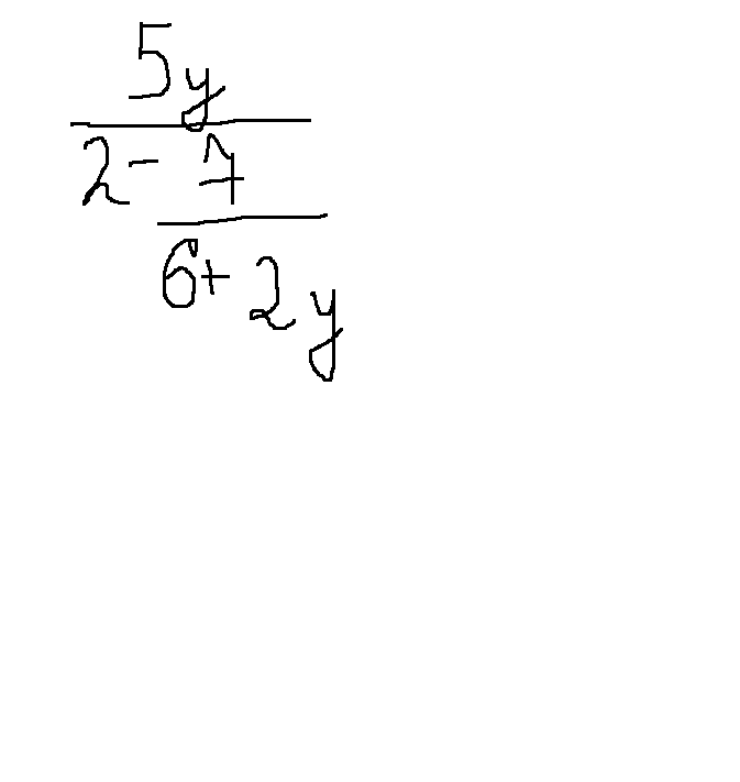
frac{5y}{2-frac{7}{6+2y}}=frac{5y}{frac{12+4y-7}{6+2y}}=frac{5y(6+2y)}{4y+5}=frac{10y(3+y)}{4y+5}
Вас заинтересует