• Предмет: Математика
  • Автор: anton2002
  • Вопрос задан 10 лет назад

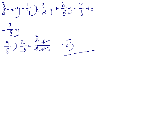
подробно решить пример 6 класс 3/8y+y-1/4y ,при y=2 2/3

Ответы

Ответ дал: смайлик111
0
см...картинку................
Приложения:
Вас заинтересует