Ответы
Ответ дал:
0
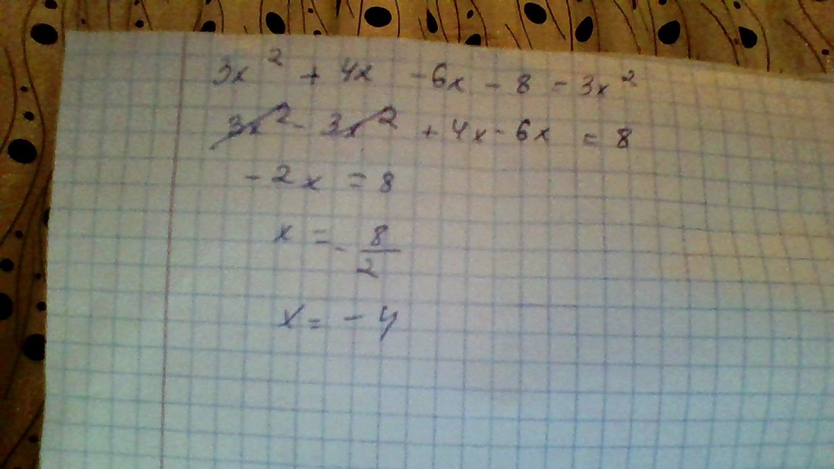
3х²+4х-6х-8=3х²
3х²+4х-6х-8-3х²=0
-2х=8
х=8:(-2)
х=-4
Ответ:-4
3х²+4х-6х-8-3х²=0
-2х=8
х=8:(-2)
х=-4
Ответ:-4
Ответ дал:
0
ответ написан в картинке
Приложения:

Вас заинтересует
2 года назад
7 лет назад
7 лет назад
10 лет назад
10 лет назад