• Предмет: Математика
  • Автор: ksjunja
  • Вопрос задан 11 лет назад

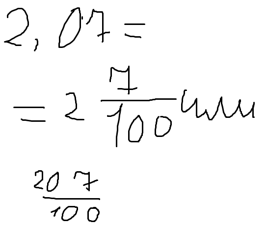
перевести 2.07 в обыковенную дробь

Ответы

Ответ дал: Johnmember
0

на картинке !!!!!!!!!!!!!!!!!!!!!!!!!!!!!!!!!!!!!!!!

Приложения:
Ответ дал: nadia09
0

Ответ: 2.07=2целых 7 дробная черта 100

Приложения:
Вас заинтересует