• Предмет: Алгебра
  • Автор: слоупочек
  • Вопрос задан 11 лет назад

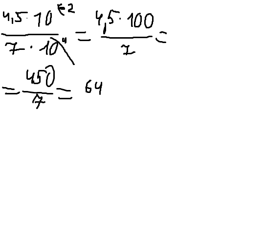
население Республики Ирландии составляет 4,5*10(в шестой степени) человек,а его территория равна 7*10(в четвертой степени) квадратный километров. Сколько жителей приходиться в среднем на 1 квадратный километр? результат округлить до целого

Ответы

Ответ дал: Johnmember
0

На картинке!!!!!!!!!!!!!!!!!!!!!!!!!!!!!!!!!!!!!!!!!

Приложения:
Вас заинтересует