• Предмет: Информатика
  • Автор: keenneenenene
  • Вопрос задан 10 лет назад

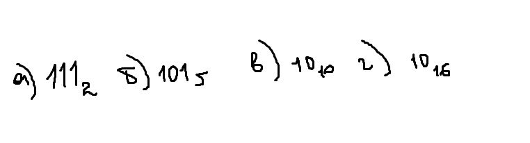
Укажите самое большое из данных чисел

Приложения:

Ответы

Ответ дал: operarus
0
Переводим все числа в десятичную систему: а)7 б)26 в)10 г)16
И выбираем "б"
Ответ дал: kssvetlana
0
б ,,,,
Вас заинтересует