Ответы
Ответ дал:
0
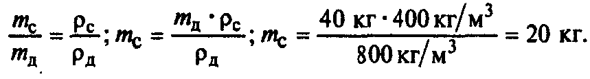
20 кг.
Определяем массы соснового и дубового брусков.
находим отношение этих уравнений и сокращаем на объем, т.к. он одинаковый у обоих брусков
Определяем массы соснового и дубового брусков.
находим отношение этих уравнений и сокращаем на объем, т.к. он одинаковый у обоих брусков
Приложения:
Вас заинтересует
3 года назад
8 лет назад
8 лет назад
10 лет назад
11 лет назад
11 лет назад