• Предмет: Математика
  • Автор: викушкина
  • Вопрос задан 11 лет назад

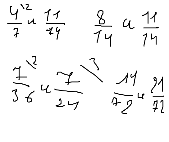
4/7 и 11/14; 7/36 и 7/24 привести дроби к наименьшему общему знаменателю.

Ответы

Ответ дал: Johnmember
0

на картинке

!!!!!!!!!!!!!!!!!

Приложения:
Ответ дал: tadbojarin
0

4/7 и 11/14= 8/14 и 11/14


7/36 и 7/24 = 14/72 и 21/72

Приложения:
Вас заинтересует