• Предмет: Физика
  • Автор: inna230100
  • Вопрос задан 10 лет назад

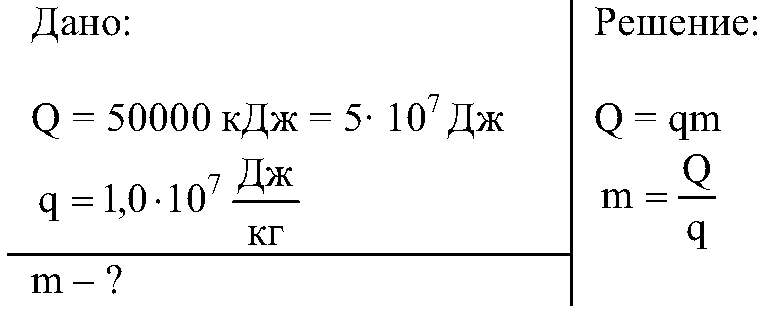
При полном сгорании сухих дров выделилось 50 000 кДж энергии. Какая масса дров сгорела?

Ответы

Ответ дал: Nastik0002
0
Вот так как то!!!!!!!!!!!!!!!!
Приложения:
Вас заинтересует