• Предмет: Алгебра
  • Автор: veronika3097
  • Вопрос задан 11 лет назад

y=корень из х у=корень из х-4 нарисовать график

 

 

Ответы

Ответ дал: Nik133
0

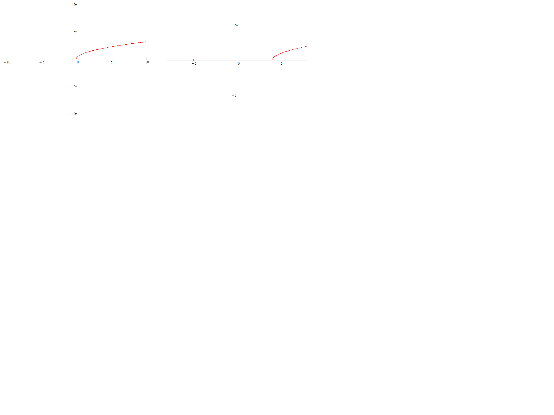
Слева график y=корень из х

Справа у=корень из х-4

Приложения:
Ответ дал: romashkaLOL
0

на первом графике  - корень из х

На втором графике - корень из (х-4)

На третьем графике - корень из х -4

Приложения:
Вас заинтересует