Ответы
Ответ дал:
0
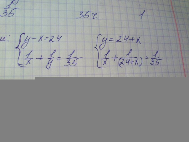
привести все в левой части равенства к общему знаменателю...
общий знаменатель: х*(24+х)
в числителе: 24+х + х
теперь по правилу пропорции можно уйти от дробей...
(24 + 2х)*35 = х*(24 + х)
24х + х² - 24*35 - 70х - = 0
х² - 46х - 840 = 0
D = 46*46 + 4*840 = 4*(529+840) = 4*1369 = (2*37)²
x = (46 +- 74)/2 = 23 +- 37
x1 = 14 x2 = 60
y1 = 38 y2 = 84
общий знаменатель: х*(24+х)
в числителе: 24+х + х
теперь по правилу пропорции можно уйти от дробей...
(24 + 2х)*35 = х*(24 + х)
24х + х² - 24*35 - 70х - = 0
х² - 46х - 840 = 0
D = 46*46 + 4*840 = 4*(529+840) = 4*1369 = (2*37)²
x = (46 +- 74)/2 = 23 +- 37
x1 = 14 x2 = 60
y1 = 38 y2 = 84
Ответ дал:
0
большое спасибо ))))
Вас заинтересует
3 года назад
8 лет назад
10 лет назад
10 лет назад