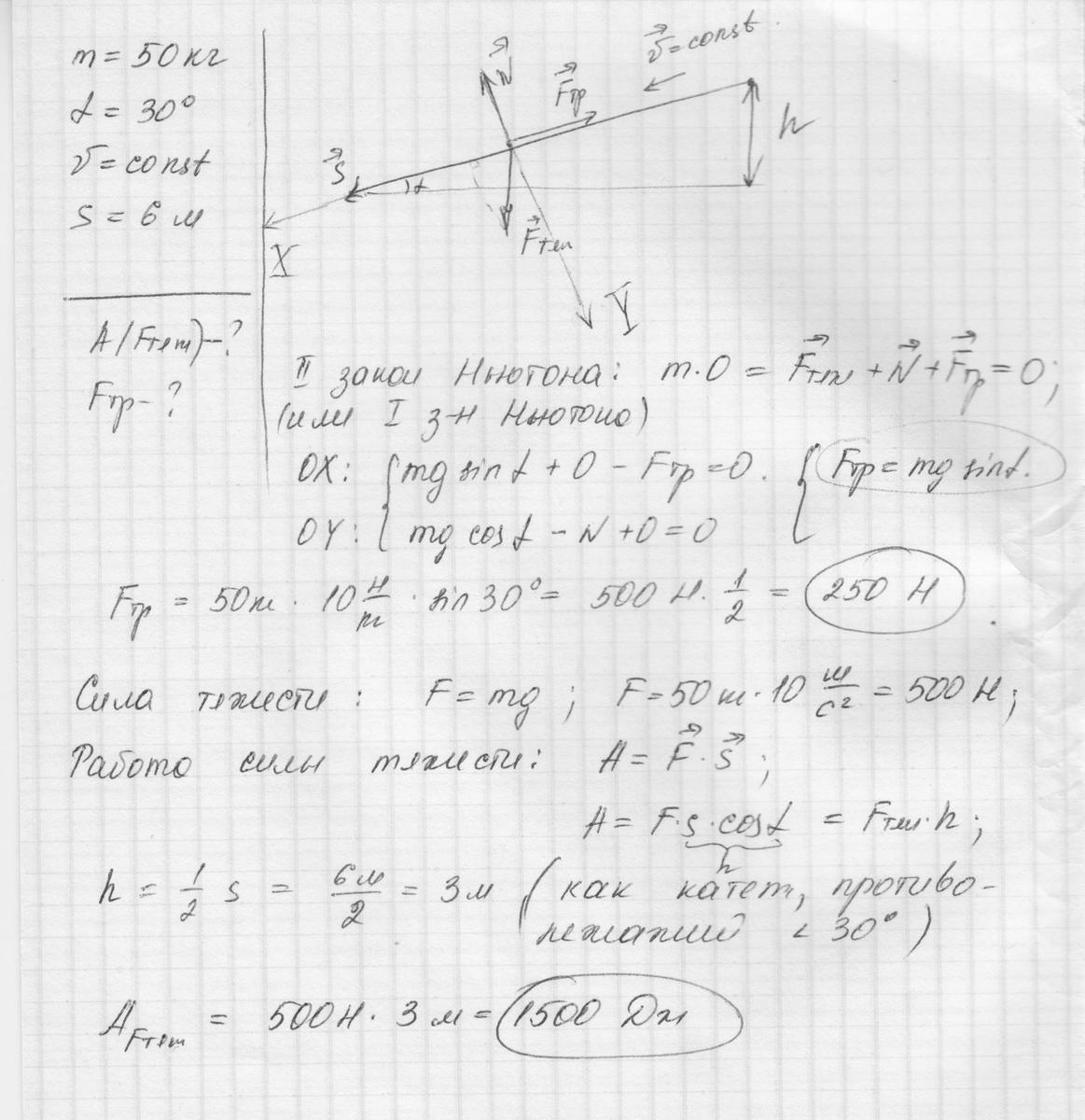
тело массой 50 кг скользит с трением по наклонной плоскости с углом наклона к горизонту 30 градусов. Двигаясь с постоянной скоростью, тело проходит путь длиной 6 метров. Вычислите работу силы тяжести при этом движении и силу трения, действующую на тело. Ответ в этой задаче: Ат=1500 Дж, Fтр=250 Н
Ответы
Сила тяжести направлена вниз, значит работа совершается при учёте, что тело в том числе и опускается.
Силу трения можно находить на основе первого закона Ньютона: если тело движется с постоянной скоростью, значит силы, которые действуют на тело компенсируются. Т.е. вдоль поверхности действует сила трения, направленная против движения, а компенсирует её "часть" силы тяжести, точнее её составляющая, расположенная вдоль поверхности (она есть противолежащим катетом углу 30 град.)
Решение прилагается.
