• Предмет: Физика
  • Автор: gaeva2001
  • Вопрос задан 10 лет назад

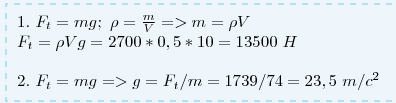
1. Объём алюминиевого куба равен 0,5 метка в кубе, а плотность алюминия 2700 кг/м3
Определите силу тяжести, действующую на куб (g=10м/с2).
2.На тело массой 74 кг, находящегося на поверхности Юпитера, действует сила тяжести,равная 1739 Н (Ньютон). Какого ускорение свободного падения на поверхности Юпитера?

Ответы

Ответ дал: Anastsiia
0
1.  F_t=mg;  rho= frac{m}{V}=>m= rho V \  F_t=rho Vg=2700*0,5*10=13500 H \  \ 2.  F_t=mg=>g=F_t/m=1739/74=23,5 m/c^2
Приложения:
Ответ дал: Mika999
0
Спасибо, очень помогли!
Вас заинтересует