3 задания срочно помогите!Распишите как сделать,чтобы завтра не спалится перед училкой,если будет спрашивать как сделал
Приложения:

Ответы
Ответ дал:
0
между 0 и 1, т.к 2
это приблезительно рвно 2, и два минус да равно 0, но корень 17 стоит между 0 и 1
Ответ дал:
0
ну платные пропусти
Ответ дал:
0
кароч поищи)и еще можно тупо решать задачи на сайте сдамгиа
Ответ дал:
0
http://xn--80aaicww6a.xn--p1ai/
Ответ дал:
0
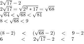
Сначала нужно внести двойку под корень, затем поместить получившееся под ним значение в границы чисел, из которых извлекается полный квадратный корень.
Дальше, думаю, всё понятно.
Дальше, думаю, всё понятно.
Приложения:

Ответ дал:
0
ОО спсибо
Ответ дал:
0
Ещё раз не за что с:
Ответ дал:
0
У тебя есть скайп ?)
Вас заинтересует
2 года назад
2 года назад
7 лет назад
10 лет назад
10 лет назад
10 лет назад