Ответы
Ответ дал:
0
На фото все есть. Смотри.
Приложения:


Ответ дал:
0
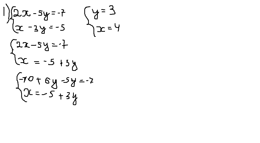
I)

Сложим эти два уравнения, получим
4x = -14
x = -3.5
Теперь подставим x в любое из уравнений
2*(-3.5)-5y = -7
5y = 0
y = 0
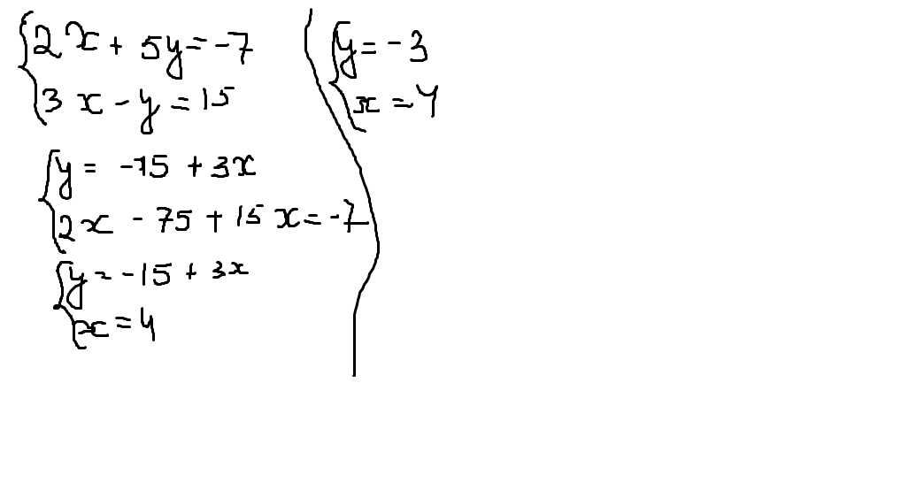
2)

выразим x из первого уравнения
x = -5-3y (1)
подставим во второе уравнение
3*(-5-3y)-y = 15
-15-9y-y = 15
-10y = 30
y = -3
Значит x из выражения (1)
x = -5-3y = -5-3(-3) = -5+9 = 4
Сложим эти два уравнения, получим
4x = -14
x = -3.5
Теперь подставим x в любое из уравнений
2*(-3.5)-5y = -7
5y = 0
y = 0
2)
выразим x из первого уравнения
x = -5-3y (1)
подставим во второе уравнение
3*(-5-3y)-y = 15
-15-9y-y = 15
-10y = 30
y = -3
Значит x из выражения (1)
x = -5-3y = -5-3(-3) = -5+9 = 4
Приложения:


Ответ дал:
0
значит правильно у меня. спасибо:3
Вас заинтересует
2 года назад
7 лет назад
7 лет назад
10 лет назад
10 лет назад
10 лет назад