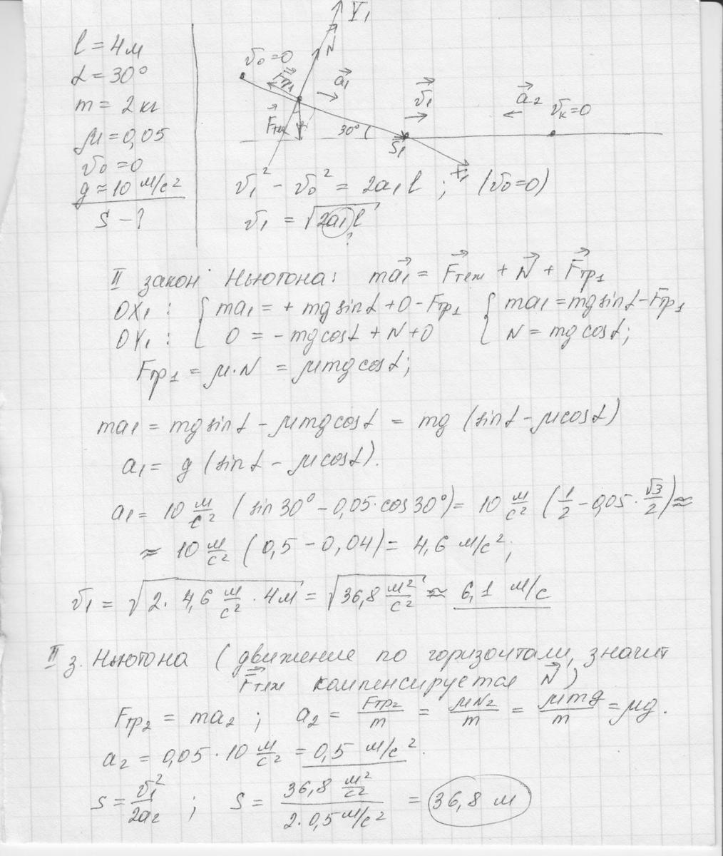
с наклонной плоскости длиной 4 м и углом наклона 30° соскальзывает тело массой 2 кг, после чего проходит некоторое расстояние по горизонтали. Коэффициент трения на всем пути 0,05. Найдите расстояние, пройденное телом по горизонтали.
Ответы
Ответ дал:
0
Две ситуации, две части в задаче. Первая - тело соскальзывает с наклонной плоскости, при этом развивает скорость до максимальной. Вторая - движение по горизонтали и развитая максимальная скорость уменьшается до нуля. Ускорения на каждой части разные и их можна найти по второму закону Ньютона.
Решение прилагается.
Приложения:
Вас заинтересует
3 года назад
3 года назад
8 лет назад
8 лет назад
11 лет назад
11 лет назад
11 лет назад