Ответы
Ответ дал:
0
Все очень просто)Если есть вопросы спрашивайте)
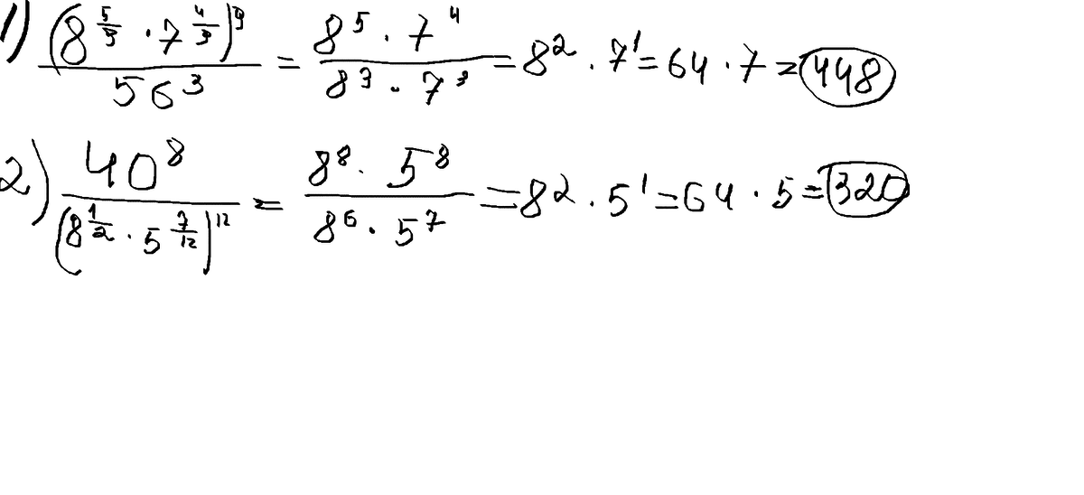
Приложения:

Ответ дал:
0
Спасиибоо, я поняла, как решать, а то мне было непонятно:))
Ответ дал:
0
рада помочь)
Вас заинтересует
2 года назад
7 лет назад
7 лет назад
10 лет назад
10 лет назад
10 лет назад