Ответы
Ответ дал:
0
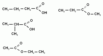
Вот некоторые из них, подумайте какие еще есть!!!
1)бутановая кислота
2)2-метилпропионовая кислота
3)этиловый эфир уксусной кислота
4) метиловый эфир пропионовой кислоты
Приложения:

Вас заинтересует
2 года назад
8 лет назад
8 лет назад
10 лет назад
10 лет назад