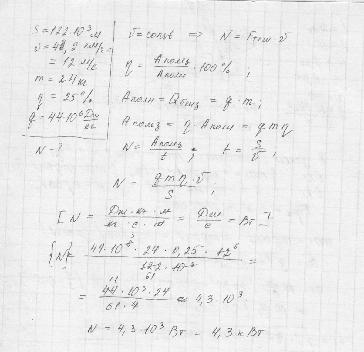
Автомобиль проехал 122км со скоростью 43,2км/ч. И затратил при этом 24 кг. Бензина . Какую мощьность развивал двигатель автомобиля во время движения если КПД двигателя 25 процентов?
Ответы
Ответ дал:
0
Полная работа численно равна количеству теплоты, выделяемому при згорании бензина. Полезная работа связана с мощностью двигателя через время.
Решение прилагается.
Приложения:

Вас заинтересует
2 года назад
8 лет назад
8 лет назад
10 лет назад
10 лет назад
10 лет назад