ОБЪЯСНИТЕ ПОЖАЛУЙСТА ЗАДАЧУ ЧЕРЕЗ ПУСТЬ ПРОШУ ПОМОГИТЕ 15 БАЛЛОВ ДАЮ
Найдите два числа, если известно, что утроенная разность этих чисел на 6 больше их суммы, а удвоенная разность этих чисел на 9 больше их суммы.
Ответы
Ответ дал:
0
Вот...я решил задачу..хм...нужно сто символов))
Приложения:
Ответ дал:
0
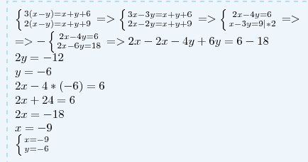
Пусть первое число х, второе у.
Утроенная разность этих чисел 3(x-y) на 6 больше их суммы (х+у). Составим первое уравнение системы: 3(x-y)=х+у+6
Удвоенная разность этих чисел 2(х-у) на 9 больше их суммы (х+у). Составим второе уравнение системы: 2(х-у)=х+у+9
Решим систему и найдем эти числа:

Утроенная разность этих чисел 3(x-y) на 6 больше их суммы (х+у). Составим первое уравнение системы: 3(x-y)=х+у+6
Удвоенная разность этих чисел 2(х-у) на 9 больше их суммы (х+у). Составим второе уравнение системы: 2(х-у)=х+у+9
Решим систему и найдем эти числа:
Приложения:
Вас заинтересует
2 года назад
8 лет назад
8 лет назад
10 лет назад
10 лет назад
11 лет назад