Ответы
Ответ дал:
0
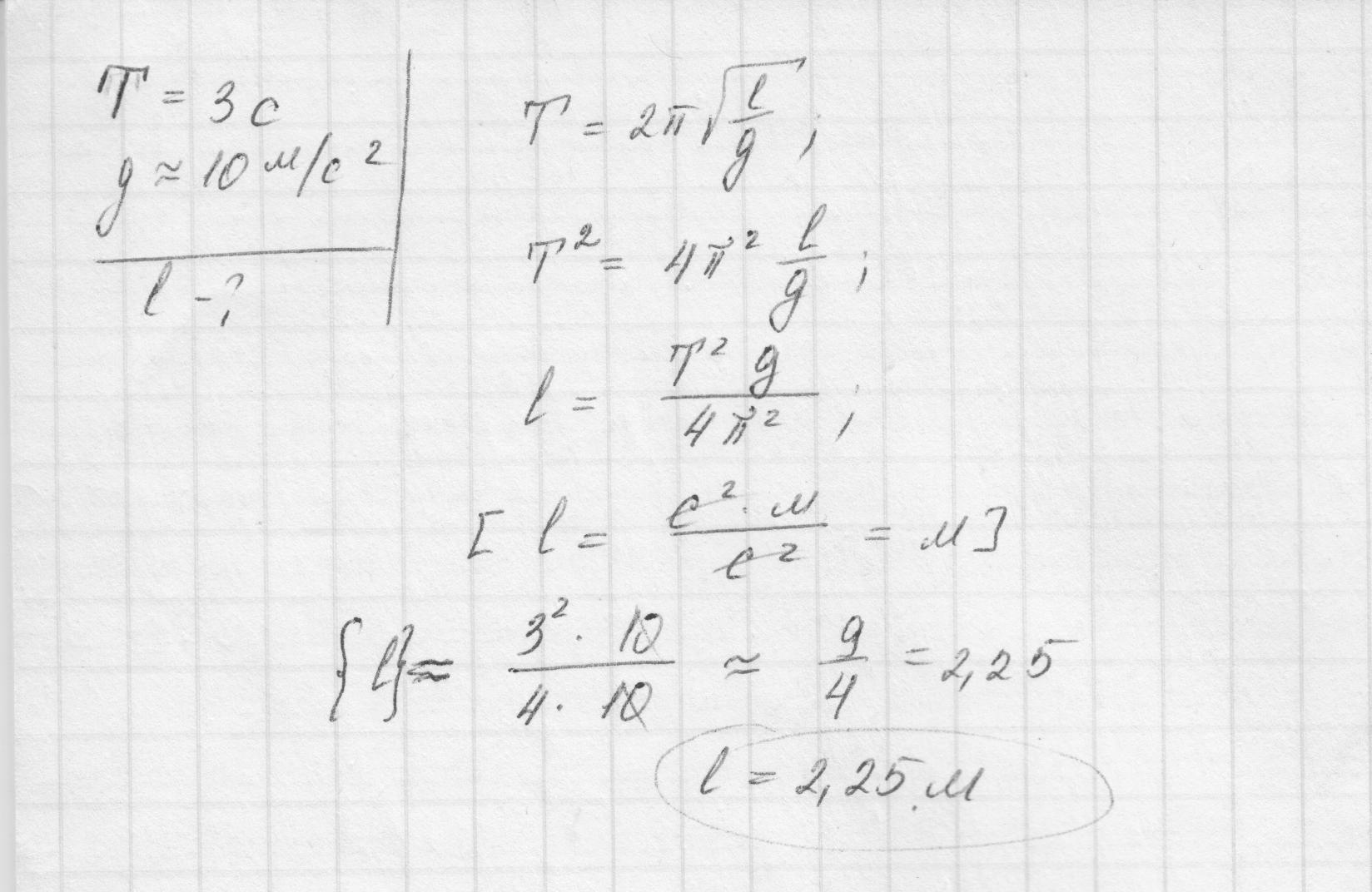
Из формулы для периода колебаний можно найти длину маятника.
Решение прилагается.
Приложения:

Вас заинтересует
2 года назад
2 года назад
8 лет назад
8 лет назад
10 лет назад
10 лет назад
10 лет назад