• Предмет: Алгебра
  • Автор: ЮлияТ
  • Вопрос задан 11 лет назад

ЗАДАНИЕ ВНУТРИ!!!!!!!!!!!!!!!!!!!!!!!!!!!!!!!!!!!!

Приложения:

Ответы

Ответ дал: Влада2011
0

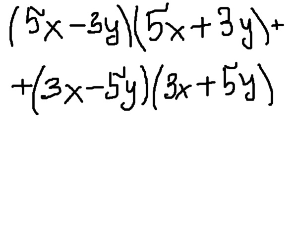
х" - х в квадрате         у" - у в квадрате

Применяем формулы сокращенного умножения:

(25х"-9у")+(9х"-25у")=34х"-34у" = 34(х"-у") 

Ответ дал: AlexVIP
0

(5х - 3у) (5х + 3у) + (3х - 5у) (3x + 5y) = 25х(кв.) - 9у(кв.) + 9х(кв.) - 25у (кв.) = 34x(кв) - 34у (кв.) = 34 (х-у). 

Ответ: 34(х-у). 

Вас заинтересует