150+ пунктов) 8 класс) Уравнения)
Сам процесс решения обязательно) пожаалуйста)
Очень прошу, не писать фигни типа: ой как сложно, вот это да. Для этого есть комментарии!
Приложения:


Ответы
Ответ дал:
0
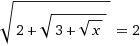
√(2+√(3+√(x))) = 2
2+√(3+√(x))=4
√(3+√(x))=2
3+√x=4
√x=1
x=1 - ответ.
√(5-√(x))=1
5-√x =1
√x=4
x=16 - ответ.
2+√(3+√(x))=4
√(3+√(x))=2
3+√x=4
√x=1
x=1 - ответ.
√(5-√(x))=1
5-√x =1
√x=4
x=16 - ответ.
Ответ дал:
0
возведем в квадрат левую и правую части
возведем в квадрат левую и правую части
x=1
возведем в квадрат левую и правую части
x=16
Вас заинтересует
2 года назад
2 года назад
7 лет назад
7 лет назад
10 лет назад
10 лет назад
10 лет назад
10 лет назад