• Предмет: Алгебра
  • Автор: zhannaaxmedova
  • Вопрос задан 10 лет назад

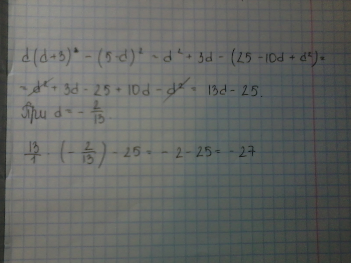
Упростите выражение d(d+3)-(5-d)в квадрате
найдите его значение при d = -2/13. в ответ запишите полученное число.
ЗАДАНИЕ 7

Приложения:

Ответы

Ответ дал: Juliaa21
0
..........................
Приложения:
Вас заинтересует