• Предмет: Геометрия
  • Автор: ludcuk
  • Вопрос задан 10 лет назад

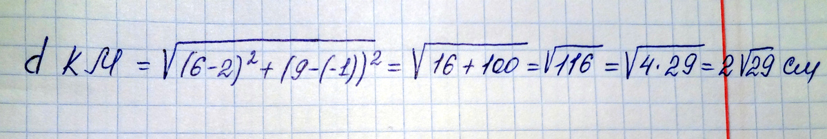
знайдить видстань миж точками К та М якщо К(2;-1) М(6;9)

Ответы

Ответ дал: vlada7899
0
....................
Приложения:
Вас заинтересует