• Предмет: Алгебра
  • Автор: Aradia00
  • Вопрос задан 10 лет назад

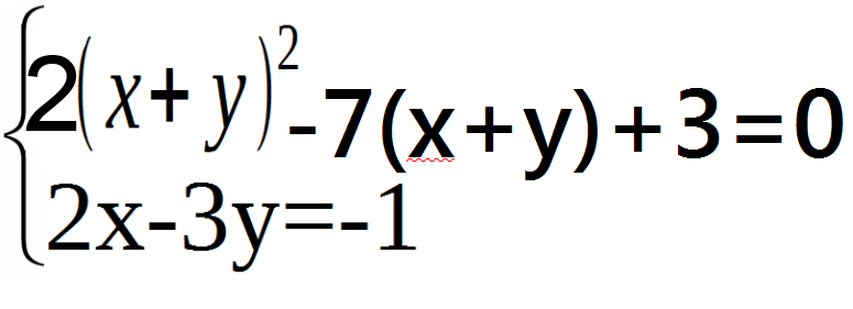
Здравствуйте,помогите пожалуйста решить систему уравнений методом введения новых переменных,желательно на листке бумаги и как можно скорее,заранее спасибо!!

Приложения:

Ответы

Ответ дал: Аноним
0
Решение во вложении, удачки
Приложения:
Вас заинтересует