велосипедист, движущийся со скоростью 18 кмч, начинает спускаться с годы.если ускорение велосипедиста равно 0,8 , что через 6 с его скорость будет?
Ответы
Ответ дал:
0
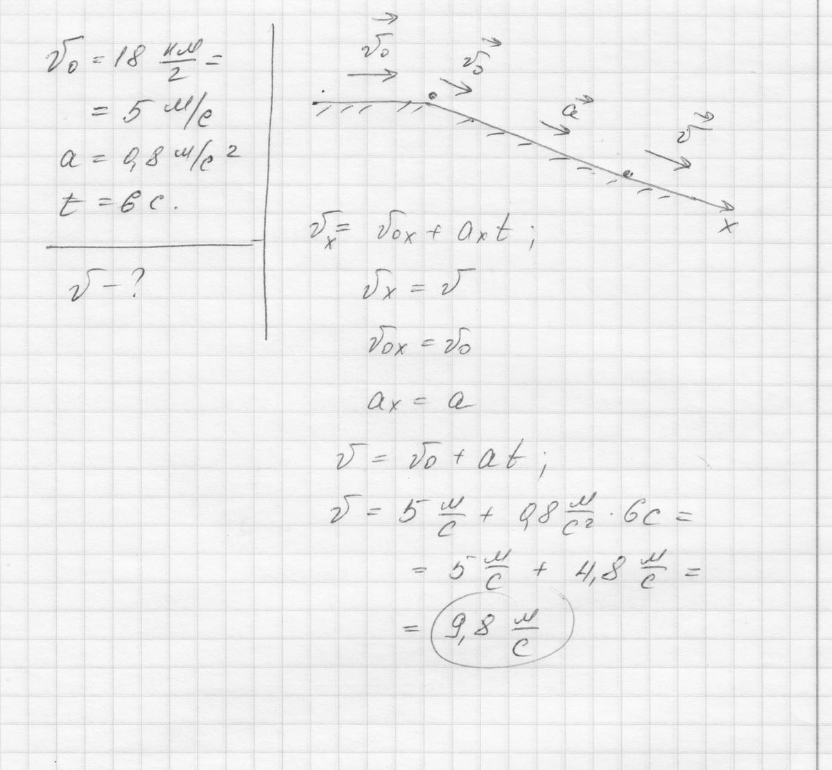
18 км/ч будет начальной скоростью для спуска, ускорение показывает, что скорость каждую секунду будет увеличиваться на 0,8 м/с в кв. Можно посчитать уже и усно, но правильно будет использовать формулы (закономерности).
Решение прилагается.
Приложения:

Вас заинтересует
2 года назад
2 года назад
8 лет назад
8 лет назад
10 лет назад
10 лет назад
10 лет назад