• Предмет: Алгебра
  • Автор: revivification
  • Вопрос задан 11 лет назад

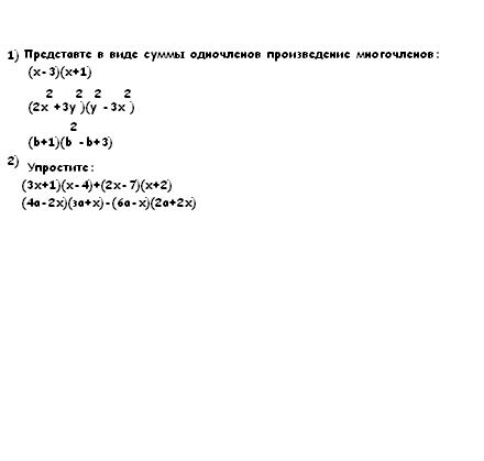
помогите пожалуйст!заранее спасибо)

Приложения:

Ответы

Ответ дал: triolana
0

=============================================

Приложения:
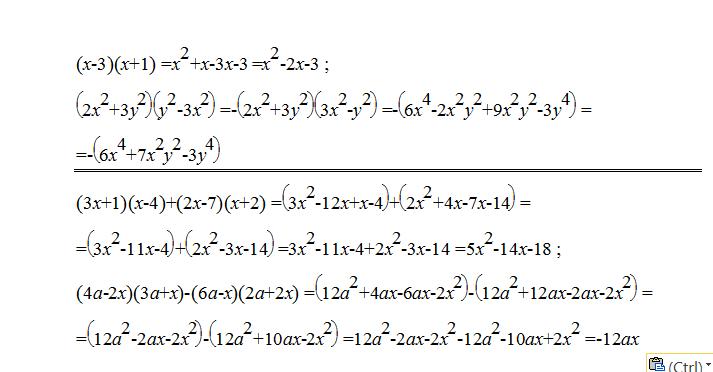
Ответ дал: anmih
0

раскрываем скобки, учитываем занки, приводим подобные слагаемые. См вложение

Приложения:
Вас заинтересует