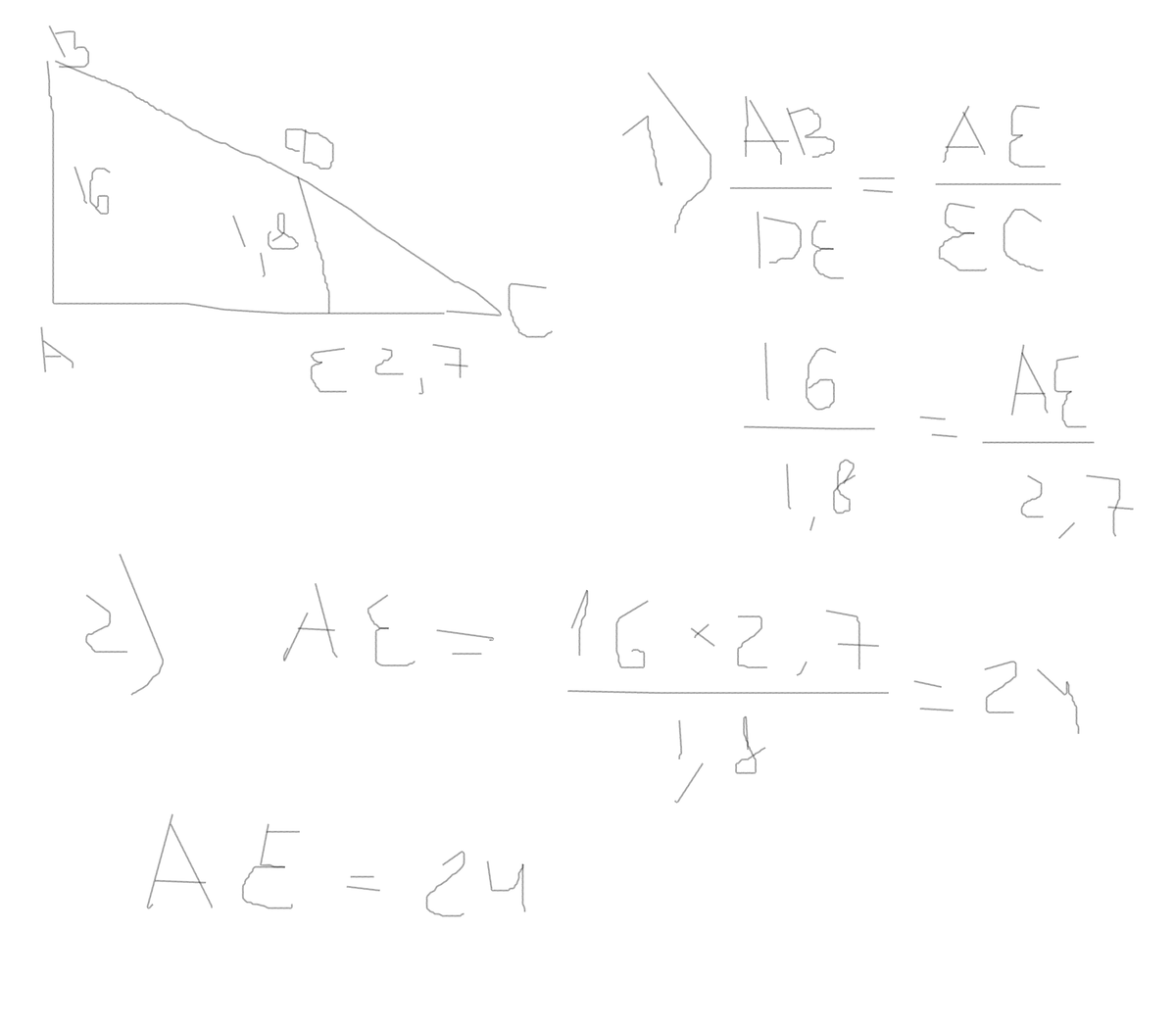
Найдите длину солнечной тени от здания высотой 16 м. если солнечная тень от человека ростом 1м 80 см равна 2м 70см?
Ответы
Ответ дал:
0
составим пропорцию:
1,8 - 2,7
16 - х
получаем: 1,8х =43,2
ч=24 м ответ: 24 метра
Ответ дал:
0
вот решение на задачу надеюсь всё понятно написано
Приложения:

Вас заинтересует
2 года назад
2 года назад
8 лет назад
8 лет назад
10 лет назад
10 лет назад