• Предмет: Геометрия
  • Автор: 19980310e
  • Вопрос задан 11 лет назад

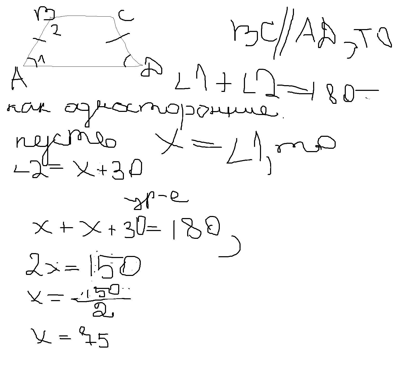
найдите углы равнобокой трапеции. Если один из её углов на 30 градус больше второго

Ответы

Ответ дал: ZD96
0

Пусть х меньший угол, тогда х + 30 - больший угол. Составим уравнение.

Так как трепация равнобедренная, то следовательно какждого из этих угло по два : 2х+(х+30)2= 360. З60 - градусная мера трапеции.

Решим уравнение. Получим 4х= 300, х=75

Ответ 75

Ответ дал: Aleaks
0

Ответ и дано запишешь сам!Надееюсь все понятно!

Приложения:
Вас заинтересует