• Предмет: Геометрия
  • Автор: sunnyvampier97
  • Вопрос задан 11 лет назад

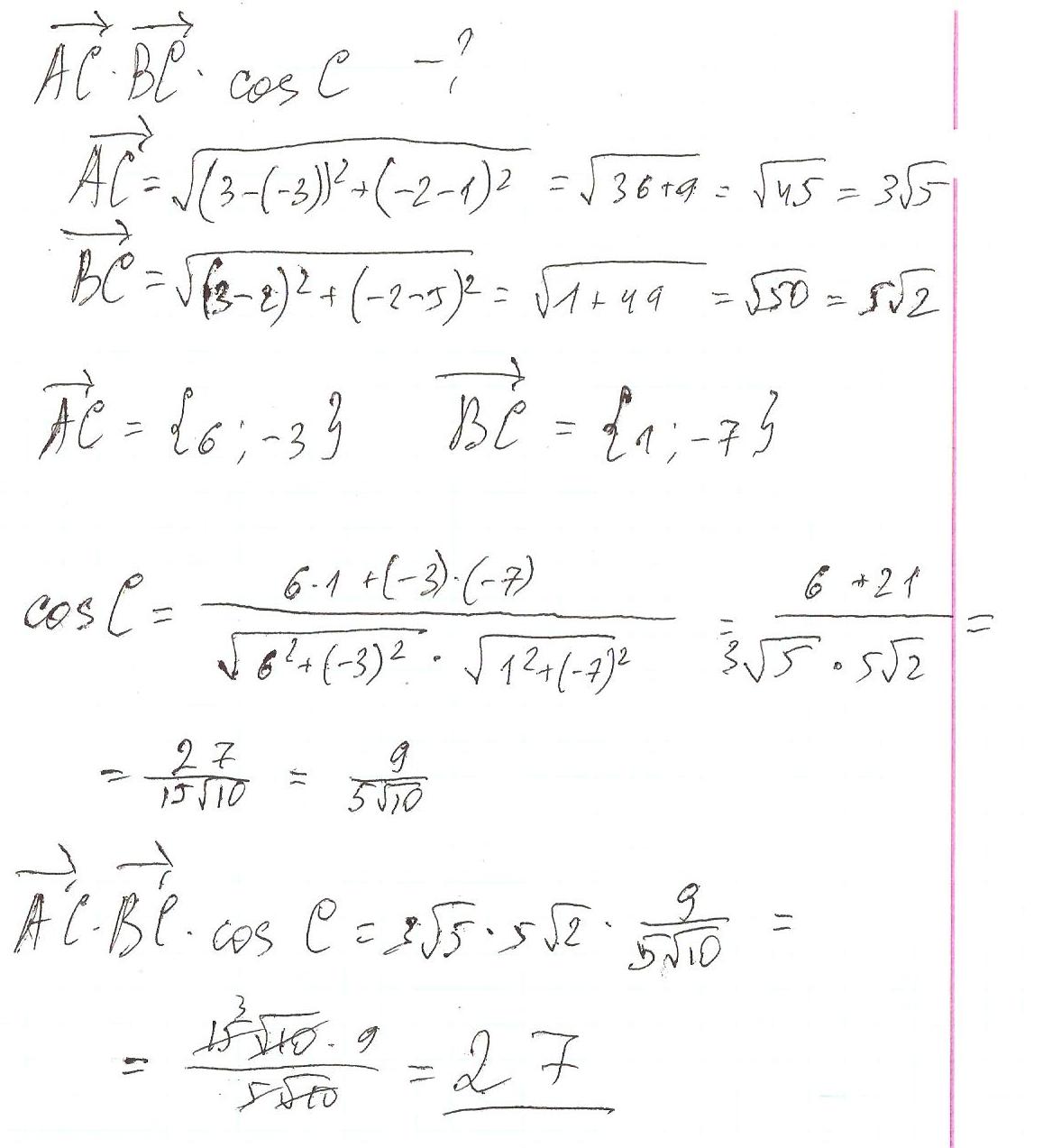
РЕшите пожалуйста: найти скалярное произведение векторов АС*СВ, если А(-3;1) В(2;5) С(3;-2)

Ответы

Ответ дал: tres52
0

 Чтобы найти координаты ветора из конца вычитаем начало. Координаты вектора АС(6;-3), координаты вектора СB(-1;7). скалярное произведение= х1*х2+у1*у2=-6+(-21)=-27

Ответ дал: Artem112
0

в ответ идет число с противоположным зхнаком, так как был вектори СВ а не ВС, т. е. ответ -27

Приложения:
Вас заинтересует