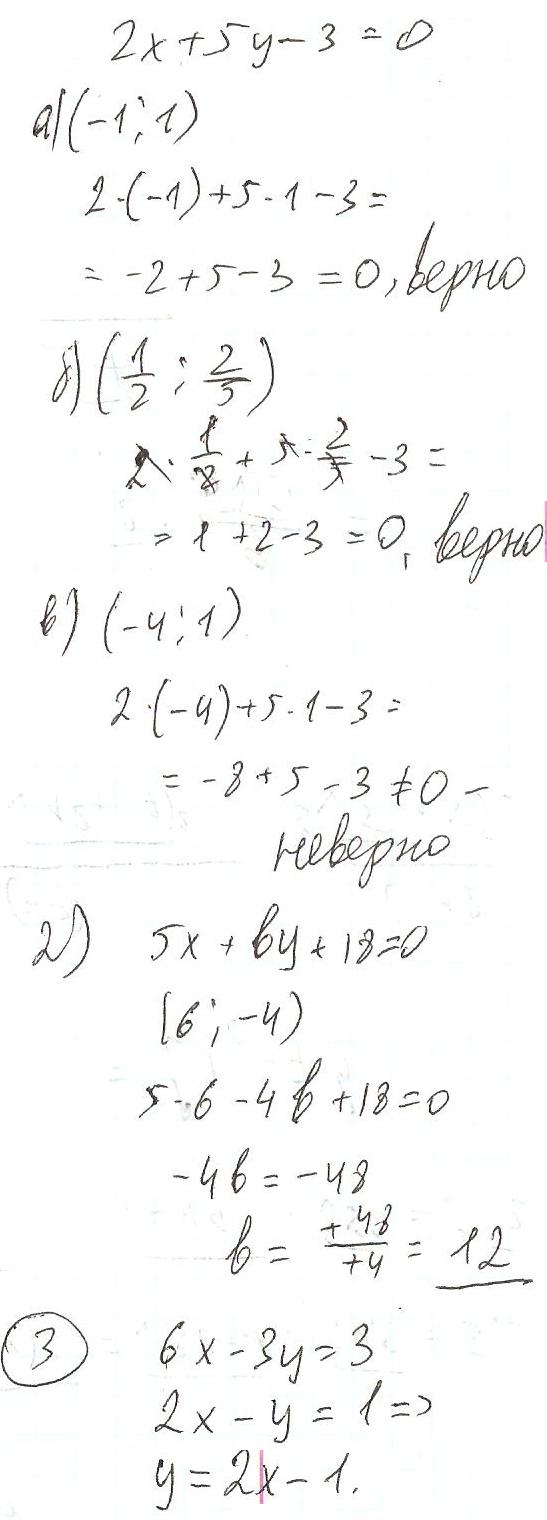
Помогите самый последний раз на сегодня №1 Какие из пар чисел (-1:1),(дробь одна вторая,дробь две пятых),(-4:1) являются решением уравнения 2х+5y-3=0 №2 Найдите значения коэффициента b в уравнении +5х+by+18=0 если известно что пара чисел (6:-4) является решением уравнения. №3 преобразуйте линейное уравнение с двумя переменными 6х-3y=3 к виду линейной функции y=rx+m
Ответы
                                            Ответ дал: 
                                                                                    
                                        
                                            
                                                
                                                
                                                
                                                    0
                                                
                                            
                                        
                                    недеюсь понятно будет...
Приложения:
                     
                            Вас заинтересует
                
                        2 года назад
                    
                
                        8 лет назад
                    
                
                        10 лет назад
                    
                
                        10 лет назад
                    
                
                        10 лет назад