• Предмет: Геометрия
  • Автор: Sashka8111
  • Вопрос задан 11 лет назад

Угол при вершине равнобедренного треугольника равен 60 градусов, боковая сторона равна 4. Найдите длину высоты, проведённой к этой стороне.

Ответы

Ответ дал: dashylkaa
0

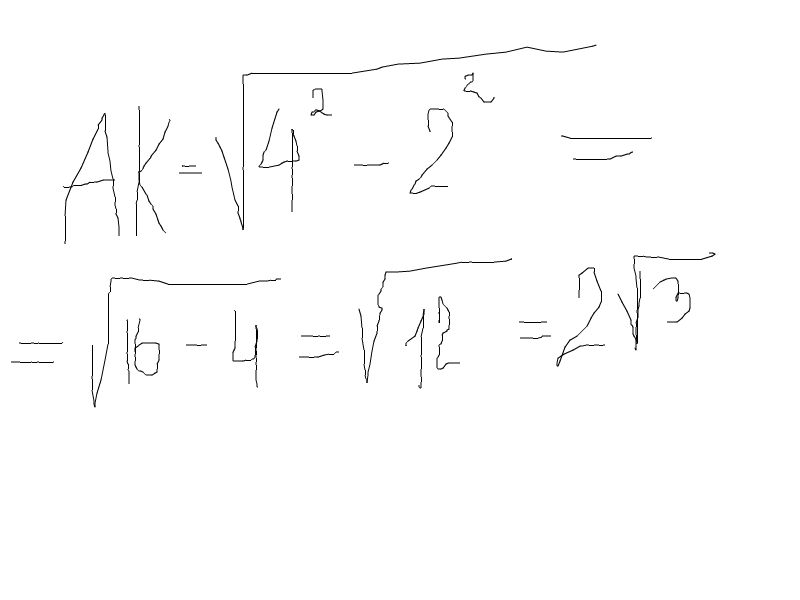
1) рассмотрим треугольник АВК (где прямой угол, там К) - прямоугольный. (т.к. АК - высота)

угол В = 60 градусов (по условию)

следовательно

угол ВАК = 30 градусов ( 90 - 60 = 30)

следовательно

ВК = одна вторая АВ (катет, лежащий против угла в 30 градусов равен половине гипотенузы)

ВК = 4: 2 = 2

 2) рассм. треугольник АВК - прямоугольный.

АВ=4 ВК=2

Найдем АК по теореме Пифагора: АК = 2 корня из 3

Вроде так

Приложения:
Вас заинтересует