Ответы
Ответ дал:
0
Решение в виде фотографии
Приложения:

Ответ дал:
0
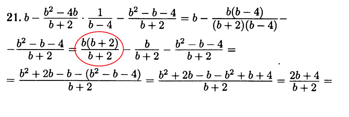
Нужно раскрывать скобки:
(2b+4)/(b+2)=2(b+2)/(b+2)
(2b+4)/(b+2)=2(b+2)/(b+2)
Приложения:

Вас заинтересует
2 года назад
2 года назад
7 лет назад
7 лет назад
10 лет назад
10 лет назад
10 лет назад