Ответы
Ответ дал:
0
Ну я же решил же зачем задавать вопрос дважды? И плюс много баллов тратишь... Администрация не удаляйте мое решение. Это я два раза решил! Если не верите проверьте !
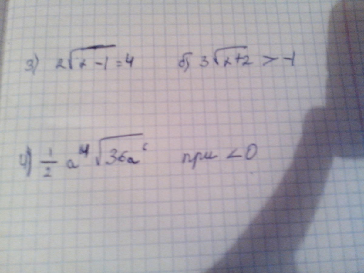
3 корень x+2^2 >(-1)
(3)^2(x+2)>(-1)^2
(3)^2(x+2)>1
9(x+2)>1
Теперь 9 умножаем на х и на 2
9x+18>1
9x>-18+1
9x>-17
x>-17/9
4)
1/2+(a^4*6a^3)
6a^7/2
6 и 2 сокращаем получаем 3
=> 3a^7
3 корень x+2^2 >(-1)
(3)^2(x+2)>(-1)^2
(3)^2(x+2)>1
9(x+2)>1
Теперь 9 умножаем на х и на 2
9x+18>1
9x>-18+1
9x>-17
x>-17/9
4)
1/2+(a^4*6a^3)
6a^7/2
6 и 2 сокращаем получаем 3
=> 3a^7
Ответ дал:
0
Там зайди в свое задание которое ты задавал на 50 баллов там расписано
Ответ дал:
0
Бывает! Ну да чем больше баллов тем будет больше людей опытных решать!
Ответ дал:
0
не знаю как на клавиатуре ставится корень так что буду словами писать
3б) 3*корень(х+2)>-1
корень(х+2)>-1/3
квадратный корень всегда больше либо равно нулю так что
х+2=0
х=-2
значит х любое число больше -2
4)не понятно как вы условие поставили. вы написали при <0. я не знаю как это понимать, но если считать что все выражение <0 то нет решений так как здесь мы видим четные степени, т.е. а>0, соответсвенно все выражение будет больше 0.
3б) 3*корень(х+2)>-1
корень(х+2)>-1/3
квадратный корень всегда больше либо равно нулю так что
х+2=0
х=-2
значит х любое число больше -2
4)не понятно как вы условие поставили. вы написали при <0. я не знаю как это понимать, но если считать что все выражение <0 то нет решений так как здесь мы видим четные степени, т.е. а>0, соответсвенно все выражение будет больше 0.
Ответ дал:
0
уже исправила. спасибо что указали на ошибку)
Ответ дал:
0
Да, окуратнее, люди бывают гады, отмечают просто жалобу, по закону подлости попадут случаем на вас и ваш аккаунт удалят
Вас заинтересует
3 года назад
8 лет назад
10 лет назад
10 лет назад
11 лет назад