• Предмет: Алгебра
  • Автор: alexkrieber
  • Вопрос задан 10 лет назад

520 как решать+объяснение а и б

Приложения:

Ответы

Ответ дал: LFP
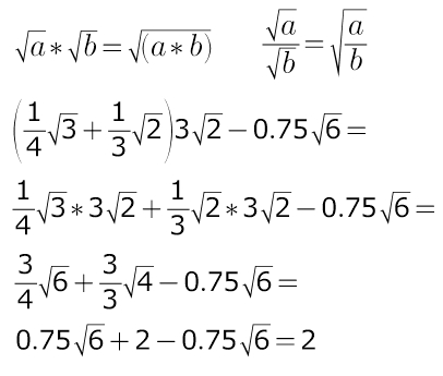
0
просто раскрыть скобки)))
Приложения:
Вас заинтересует