Помогите решить показательные уравнения пожалуйста уже несколько часов мучаюсь с ними:
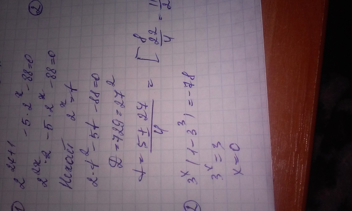
2^2x+1 - 5 × 2^x - 88 = 0;
3^x - 3^x+3 = -78;
(корень в 4 степени из 2 / √3 )^x²+4 = 20,25^x+1
Ответы
Ответ дал:
0
3 я не поняла,скинь фотку решу
Приложения:

Ответ дал:
0
спасибо большое) у меня уже получилось третий решить...
Вас заинтересует
2 года назад
7 лет назад
7 лет назад
10 лет назад