• Предмет: Алгебра
  • Автор: peko2001
  • Вопрос задан 10 лет назад

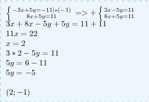
метод алгебраического сложения
-3x+5у=-11
8x+5у=11

Ответы

Ответ дал: Anastsiia
0
 left { {{-3x+5y=-11|*(-1)} atop {8x+5y=11}} right. => +left { {{3x-5y=11} atop {8x+5y=11}} right.  \ 
3x+8x-5y+5y=11+11 \ 11x=22 \ x=2 \ 3*2-5y=11 \ 5y=6-11 \ 5y=-5 \  \ (2;-1)
Приложения:
Вас заинтересует