• Предмет: Алгебра
  • Автор: irina799
  • Вопрос задан 10 лет назад

сравните с единицей число: (0,011)^-2; 3,1^0,5

Ответы

Ответ дал: Anastsiia
0
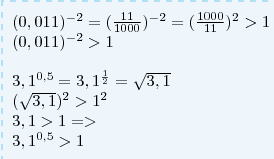
(0,011)^{-2}=( frac{11}{1000} )^{-2}=( frac{1000}{11} )^2 >1 \ 
(0,011)^{-2} >1 \  \ 3,1^{0,5}=3,1^{ frac{1}{2} }= sqrt{3,1}  \ 
(sqrt{3,1})^2 > 1^2 \ 3,1>1 =>
 \ 3,1^{0,5}>1
Приложения:
Вас заинтересует