• Предмет: Алгебра
  • Автор: lena1a1ti1kto
  • Вопрос задан 11 лет назад

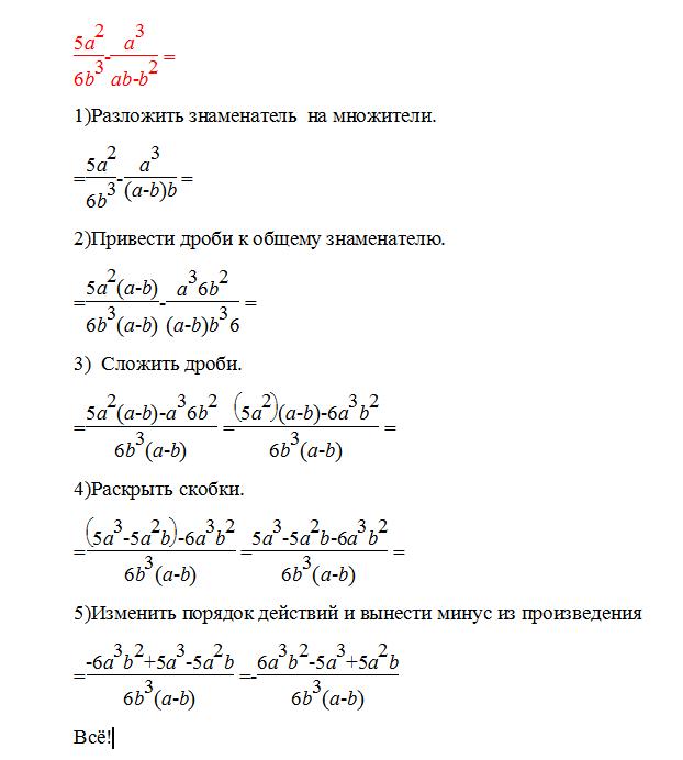
 frac{5a^{2}}{6b^{3}} - frac{a^{3}}{ab-b^{2}} обьясните как это делать? что откуда взялось? и т.д. и скажите как позтавить 5 пунктиков за решение задачи????

Ответы

Ответ дал: triolana
0

====================================================

Приложения:
Вас заинтересует