• Предмет: Алгебра
  • Автор: Viktorioooooo
  • Вопрос задан 10 лет назад

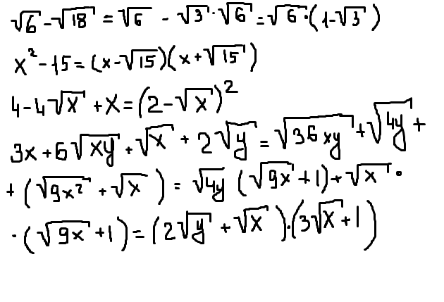
Разложите на множители :
√6-√18
x^2-15
4-4√x+x
3x+6√xy+√x+2√y

Ответы

Ответ дал: Valtera
0
Решение................
Приложения:
Вас заинтересует