• Предмет: Математика
  • Автор: kyzykty1994
  • Вопрос задан 11 лет назад

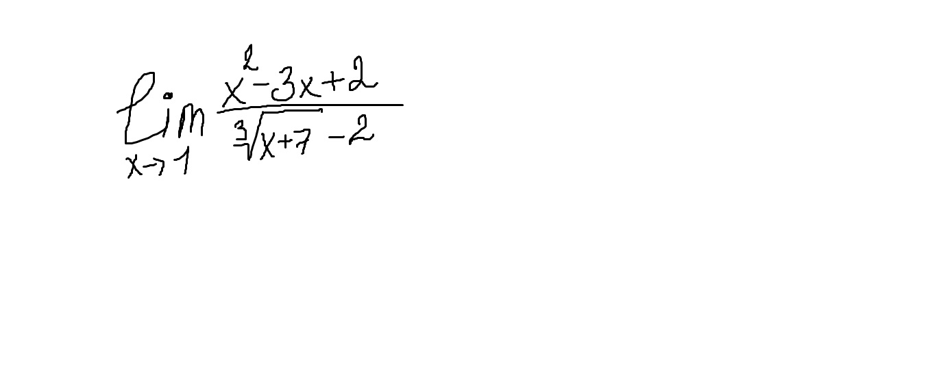
помогите пожалуйста с объяснением... спасибо!

Приложения:

Ответы

Ответ дал: Гоша68
0

один из способов взять производные в числителе и знаминателе

(2x-3)

1/3(x+7)^(-2/3)

и использовать правило Лапиталя

lim(x->1) (2x-3)*3(x+7)^(2/3)=3*(-1)(8)^(2/3)=-12

 

Вас заинтересует