Дам очень много баллов, но решите прошу!
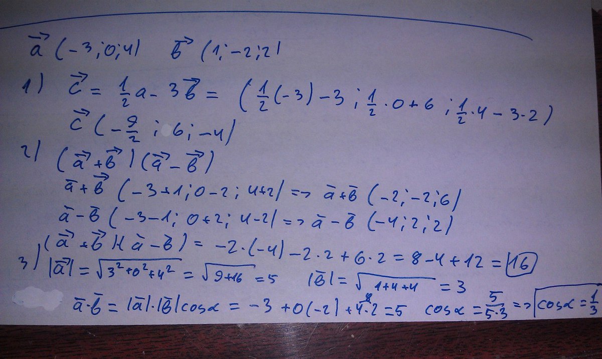
даны векторы а(-3;0;4) и б(1;-2;2)
а)найти вектор с=1/2а-3б
б) (а+б)*(а-б)
в) найти косинус угла между векторами а и б
Ответы
Ответ дал:
0
Решение смотри на фото
Приложения:

Ответ дал:
0
спасибо
Вас заинтересует
2 года назад
2 года назад
7 лет назад
7 лет назад
10 лет назад
10 лет назад
10 лет назад