Ответы
Ответ дал:
0
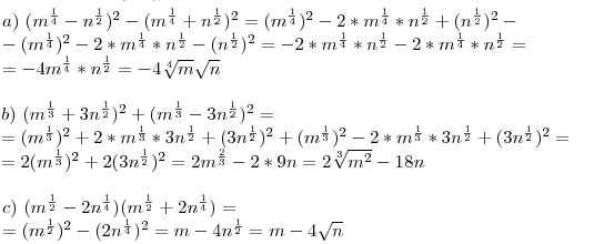
a)
=
= 
б)
= 
в)
б)
в)
Ответ дал:
0
Приложения:
Вас заинтересует
3 года назад
3 года назад
8 лет назад
8 лет назад
10 лет назад
10 лет назад