• Предмет: Математика
  • Автор: mselosx
  • Вопрос задан 11 лет назад

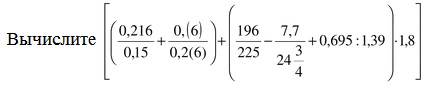
Помогите вычислить значение выражения!

Заранее признательна! 

Приложения:

Ответы

Ответ дал: 2407Alexa
0

смотри вложение,посчетала проверь только ход действий сам(а)

1)(0,216*0,2(6)+0,(6)*0,15)/(0,15*0,2(6))=(0,0576+0,1)/0,04=3,94

6)3.94-1,94=2


0,(6)=х

6,6=10х

6,6-0,6=10х-х

9х=6

х=6/9=0,66666666666666=0,(6)

0,2(6)=х

26,6=100х

266,6=1000х

266,6-26,6=1000х-100х

900х=240

х=24/90=0,266666666666666=0,2(6)


1) 0,216/0,15+6/9/24/90=0,216/0,15+6/9*90/24=0,216/0,15+(6*90/9*24)=0,216/0,15+(540/216)=1,44+2,5=3,94


2)695/1000*100/139=695/1390=0,5

3)77/10*4/99=77*2/5*99=144/495=0,291

4)196/225=0,871

5)(0,871-0,291+0,5)*1,8=1,08*1,8=1,94

6)3,94-1,94=2

Приложения:
Вас заинтересует