• Предмет: Физика
  • Автор: vivantllll
  • Вопрос задан 10 лет назад

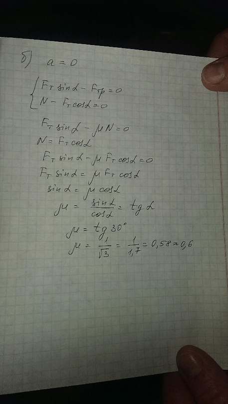
На наклонную плоскость поместили кубик. Коэффициент трения кубика 0,5. Угол наклона плоскости 30 градусов. Найти ускорение a кубика. При каком значении коэффициента трения он останется в покое?

Ответы

Ответ дал: Аноним
0
Надеюсь, что тебе помогла!
Приложения:
Вас заинтересует