Ответы
Ответ дал:
0
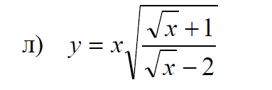
x*[(x^(1/2) + 1)/ ((x)^(1/2) - 2)]^(1/2)
x*sqrt((sqrt(x) + 1)/(sqrt(x) - 2))*(sqrt(x) - 2)*(1/(4*sqrt(x)*(sqrt(x) - 2)) - (sqrt(x) + 1)/(4*sqrt(x)*(sqrt(x) - 2)^2))/(sqrt(x) + 1) + sqrt((sqrt(x) + 1)/(sqrt(x) - 2))
x*sqrt((sqrt(x) + 1)/(sqrt(x) - 2))*(sqrt(x) - 2)*(1/(4*sqrt(x)*(sqrt(x) - 2)) - (sqrt(x) + 1)/(4*sqrt(x)*(sqrt(x) - 2)^2))/(sqrt(x) + 1) + sqrt((sqrt(x) + 1)/(sqrt(x) - 2))
Вас заинтересует
3 года назад
8 лет назад
11 лет назад