• Предмет: Алгебра
  • Автор: Ludacris66
  • Вопрос задан 10 лет назад

Определение тригонометрических функций

Решите уравнения:
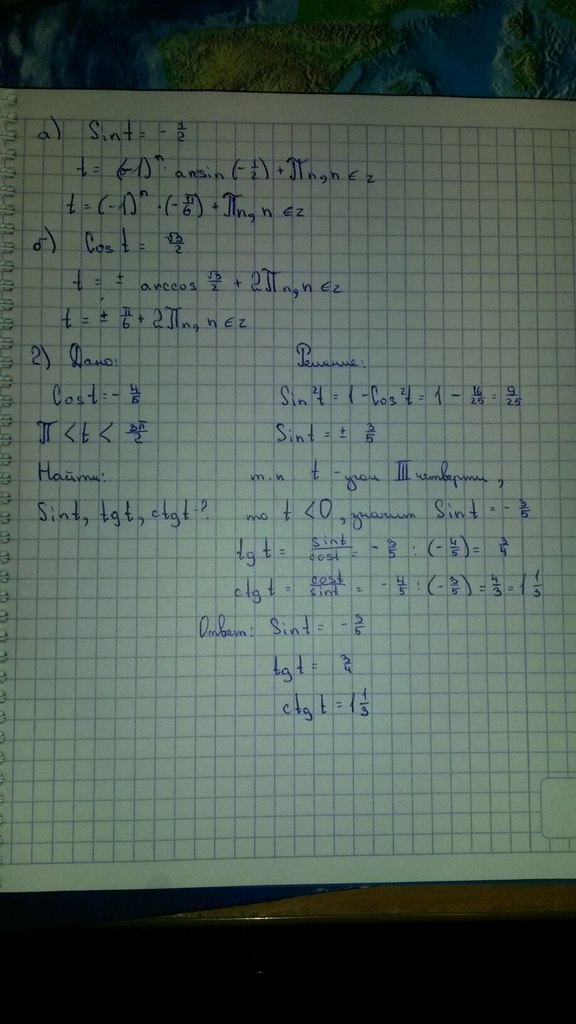
a) sin t = −1/2 б) cos t = корень из 3/2

Известно, что:
cos t = - 4/5, п < t < 3п/2
Вычислите: sin t, tg t, ctg t.

Подробное и правильное решение отмечу как лучшее!!!
Заранее спасибо.

Ответы

Ответ дал: DayLong
0
У меня получилось вот так)
Приложения:
Вас заинтересует