• Предмет: Алгебра
  • Автор: KaterinaMoskva
  • Вопрос задан 10 лет назад

Решить примеры:
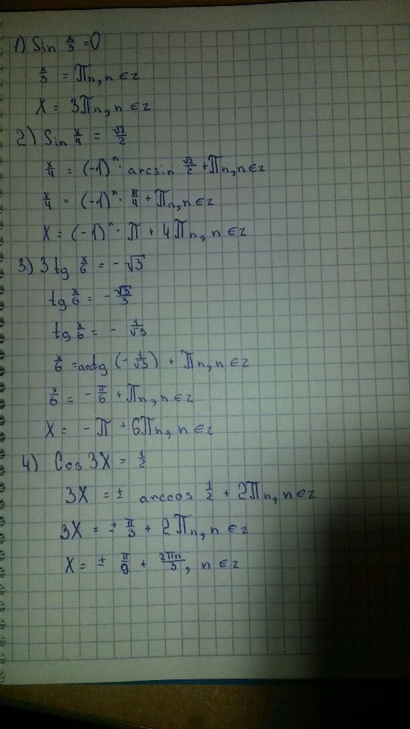
1) sin x/3 = 0
2) sin x/4 = корень из двух /2
3) 3tg x/6 = -корень из трех
4) cos 3x =1/2
5) 2 корня из 3 cos x-3 =0

Ответы

Ответ дал: DayLong
0
Решение во вложении))))
Приложения:
Вас заинтересует